
Background information
Strength training: how often is enough?
by Claudio Viecelli

There’s no magic pill. Strength training is the only way to combat muscle and strength loss as we age.
Lack of strength and muscle mass can lead to falls and cause fractures that need to be treated in hospital. Age-associated reduction in muscle mass and strength leads to a severe reduction in quality of life and places an enormous burden on our healthcare system.
To reiterate: there’s no pharmacological way to stop or mitigate this atrophy. Fortunately, however, there is a very potent antidote available that’s virtually free. Namely, strength training – and it costs nothing but a little time.
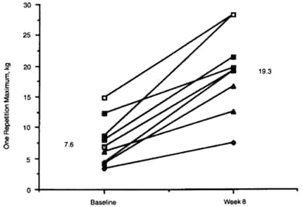
Strength training is an effective anabolic antidote to combat sarcopenia (age-related muscle loss), as it increases muscle mass and strength even in the elderly. Fiatarone and colleagues [1] subjected ten frail, institutionalised volunteers aged 90 ± 1 years to eight weeks of high-intensity strength training. On average, their strength increased by 174% ± 31% (mean ± SEM) (figure below). Thigh muscle mass increased by 9 ± 4.5%. Strength training resulted in significant increases in muscle strength, muscle size, and functional mobility in frail nursing home residents.
![Effects of strength training on knee extensor muscle strength. Maximum strength of left knee muscles before and after 8 weeks of high-intensity strength training in subjects aged 87 to 96 years of age. The symbols represent individual subjects. Adapted from [1].](https://static.digitecgalaxus.ch/im/Files/6/0/3/8/2/6/9/8/AGk0z-NFlR2Y40VK54xM2kKh86p_2aaDG3zoPzT51WBPfpF62yWuMSDASwGVmFF1InPHUUovWEuwcekEbCLlRFUdV5evR8c6vZNnqQyQZ5Is512.png?impolicy=resize&resizeWidth=430)
Churchward-Venne et al. [2] wanted to know if there were individuals among older men and women who didn’t respond to strength training. For this purpose, older men and women (n = 110, 72.6 ± 0.6 years) were recruited to exercise under supervision for either 12 or 24 weeks. Muscle mass, muscle cross-sectional area, strength, and functional parameters were measured.
In response to strength training, muscle mass increased by 0.9 ± 0.1 kg in the 0-to-12-week training group and by 1.1 ± 0.2 kg in the 0-to-24-week group. In addition, muscle fibre cross-sectional analysis showed an average increase in cross-sectional area of type 1 fibres by 324 ± 137 μm2 and type 2 fibres by 701 ± 137 μm2 from 0 to 12 months. After 24 weeks, the cross-sectional area of type 1 fibres increased by 360 ± 157 μm2 and the cross-sectional area of type 2 fibres increased by 779 ± 161 μm2.
Strength gains measured by the 1-RM on the leg press and leg extension showed an increase of 33 ± 2 kg and 20 ± 1 kg from 0 to 12 weeks and an increase of 50 ± 3 kg; and, from 0 to 24 weeks, 29 ± 2 kg for the leg press and leg extension, respectively.
The functional parameter examined was how quickly subjects were able to get up from a chair before and after the study. The time needed to rise from the chair decreased by 1.3 ± 0.4 s from 0 to 12 weeks and by 2.3 ± 0.4 seconds from 0 to 24 weeks. The authors concluded that all subjects responded robustly to strength training, as each subject had at least one positive training outcome.
Wroblewski et al. [3] studied body composition, peak torque, and cross-sectional area of the quadriceps of 40 athletes aged 40 to 81 years who exercised 4 to 5 times per week. The subjects consisted mainly of runners/athletes, cyclists, and swimmers. The total muscle mass in the mid-thigh, measured by magnetic resonance imaging, was not significantly different between age groups. However, the mass of the quadriceps was about 20% lower in the 70+ age group compared to the 40-to-49 and 50-to-59-year age groups. The authors observed no differences in quadriceps peak torque up until the group of participants aged 60 to 69, who were able to generate significantly less torque than participants in the younger age categories. A comparison of the age groups of 60-, 70- and 80-year-olds showed no significant difference in peak torque.
Thus, although peak torque decreased from age 60, the decrease did not get significantly larger with age. This was also the case when calculating the peak torque per muscle area. In other words, the specific force per area didn’t decrease with age. From these observations, it can be concluded that the age-associated decline in muscle mass and strength are not due to age alone, as both strength and muscle mass are maintained through long-term training. This, in turn, also demonstrates why strength training should be a lifelong exercise. If you look at the magnetic resonance images of a 40-year-old and a 70-year-old triathlete, you can hardly see any differences. So, from a muscular point of view, the long-term stress on muscles caused by training can make you 30 years younger.
![Effects of strength training on knee extensor muscle strength. Maximum strength of left knee muscles before and after 8 weeks of high-intensity strength training in subjects aged 87 to 96 years of age. The symbols represent individual subjects. Adapted from [1].](https://static.digitecgalaxus.ch/im/Files/6/0/3/8/2/6/9/8/AGk0z-NFlR2Y40VK54xM2kKh86p_2aaDG3zoPzT51WBPfpF62yWuMSDASwGVmFF1InPHUUovWEuwcekEbCLlRFUdV5evR8c6vZNnqQyQZ5Is512.png?impolicy=resize&resizeWidth=430)
The ability of muscles to adapt is lifelong. The aforementioned studies invalidate excuses such as «at my age, strength training won’t help». On the contrary, we advise older people to regularly integrate strength training into their daily routine, too.
Don’t let age change you; instead, change the way you age.
Images: Shutterstock
Molecular and Muscular Biologist. Researcher at ETH Zurich. Strength athlete.
Interesting facts about products, behind-the-scenes looks at manufacturers and deep-dives on interesting people.
Show all